Data sheet
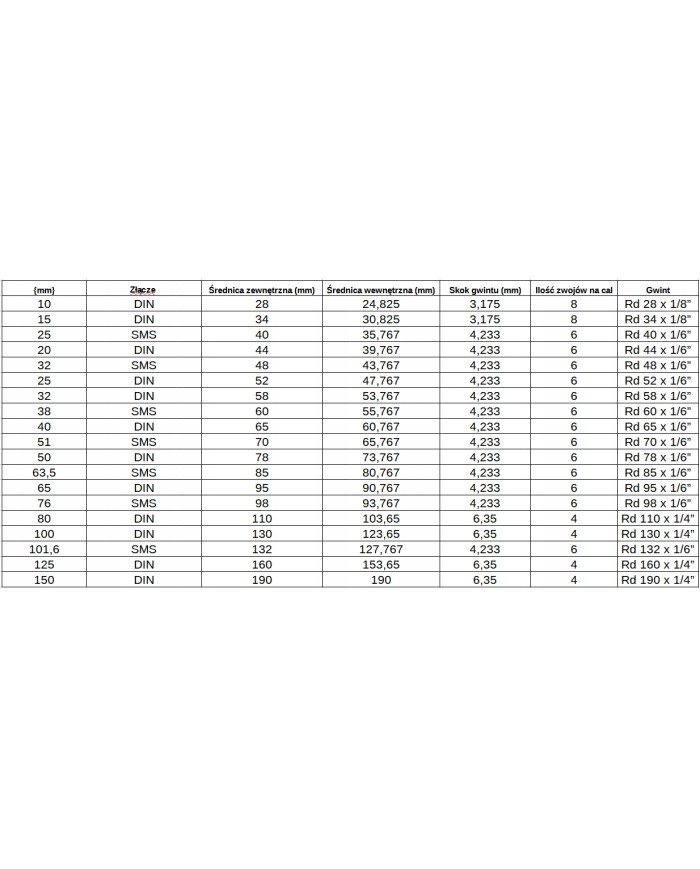
| Materiał | Stal Nierdzewna |
|---|---|
| Gatunek | AISI 304, EN 1.4301, A2 |
| Rozmiar | 104mm (średnica zewnętrzna rury) |
| Typ gwintu | Okrągły |
| Norma | SMS 1145 |
| Model | SMS |
Our store is well stocked with all kinds of stainless steel materials. Starting from nuts, through various valves and food fittings to metallurgical elements such as sheets or sections.
Our store is well stocked with all kinds of stainless steel materials. Starting from nuts, through various valves and food fittings to metallurgical elements such as sheets or sections.
Data sheet
| Materiał | Stal Nierdzewna |
|---|---|
| Gatunek | AISI 304, EN 1.4301, A2 |
| Rozmiar | 104mm (średnica zewnętrzna rury) |
| Typ gwintu | Okrągły |
| Norma | SMS 1145 |
| Model | SMS |
Our store is well stocked with all kinds of stainless steel materials. Starting from nuts, through various valves and food fittings to metallurgical elements such as sheets or sections.
Customer account
Go to your account to edit your details or view your order history.
Order
Go to the order, verify and buy the products added to the basket.
Start typing to see products you are looking for.