KRÓCIEC STOŻKOWY DIN DN 65 NIERDZEWNY GAT. 304/304L

KRÓCIEC STOŻKOWY DIN DN 65 NIERDZEWNY GAT. 304/304L

23,27 zł
Brutto

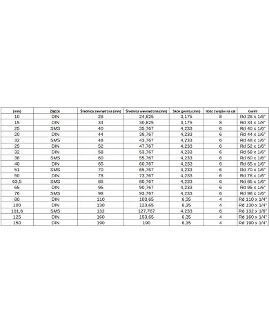
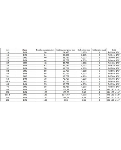
Króciec stożkowy DIN


  • Materiał: Stal Nierdzewna
  • Gatunek: AISI 304 EN 1.4301
  • Rozmiar: DN65 (średnica zewnętrzna rury)
  • Norma: DIN 11851 
 *Zdjęcie poglądowe. Produkt może delikatnie różnić się od prezentowanego.

Dostępny
SKU: 01.07.02-0029
Szczegóły produktu
01.07.02-0029

Opis

MateriałStal Nierdzewna
GatunekAISI 304, EN 1.4301, A2
Rozmiar60mm (średnica zewnętrzna rury)
NormaDIN 11851
ModelDIN

Zaloguj się

Megamenu

Moja lista życzeń0

Twoj Koszyk

Brak produktów w Twoim koszyku