KRÓCIEC GWINTOWANY DIN DN 50 NIERDZEWNY GAT. 304/304L

KRÓCIEC GWINTOWANY DIN DN 50 NIERDZEWNY GAT. 304/304L

25,51 zł
Brutto

Króciec gwintowany DIN

  • Materiał: Stal Nierdzewna
  • Gatunek: AISI 304 EN 1.4301
  • Rozmiar: DN50 (średnica zewnętrzna rury)
  • Typ gwintu: okrągły
  • Norma: DIN 11851 
*Zdjęcie poglądowe. Produkt może delikatnie różnić się od prezentowanego. 
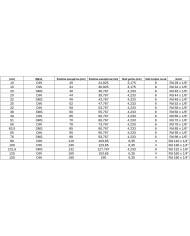
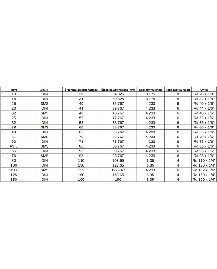
Średnice gwintów dla poszczególnych rodzajów złącz spożywczych podano w tabelce.

Dostępny
SKU: 01.07.02-0015
Szczegóły produktu
01.07.02-0015

Opis

MateriałStal Nierdzewna
GatunekAISI 304, EN 1.4301, A2
Rozmiar53mm (średnica zewnętrzna rury)
Typ gwintuOkrągły
Norma11851
ModelDIN

Zaloguj się

Megamenu

Moja lista życzeń0

Twoj Koszyk

Brak produktów w Twoim koszyku