KRÓCIEC GWINTOWANY DIN DN 80 NIERDZEWNY GAT. 304/304L

KRÓCIEC GWINTOWANY DIN DN 80 NIERDZEWNY GAT. 304/304L

42,56 zł
Brutto

Króciec gwintowany DIN

  • Materiał: Stal Nierdzewna
  • Gatunek: AISI 304 EN 1.4301
  • Rozmiar: DN80(średnica zewnętrzna rury)
  • Typ gwintu: okrągły
  • Norma: DIN 11851 
*Zdjęcie poglądowe. Produkt może delikatnie różnić się od prezentowanego. 
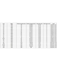
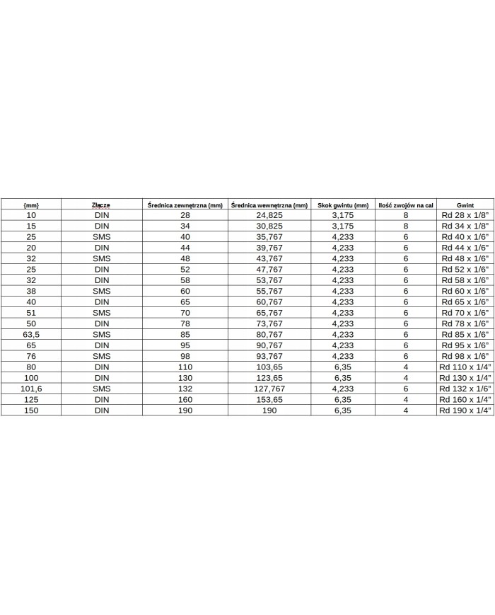
Średnice gwintów dla poszczególnych rodzajów złącz spożywczych podano w tabelce.

Dostępny
SKU: 01.07.02-0017
Szczegóły produktu
01.07.02-0017

Opis

MateriałStal Nierdzewna
GatunekAISI 304, EN 1.4301, A2
Rozmiar85mm (średnica zewnętrzna rury)
Typ gwintuOkrągły
NormaDIN 11851
ModelDIN

Zaloguj się

Megamenu

Moja lista życzeń0

Twoj Koszyk

Brak produktów w Twoim koszyku