NAKRĘTKA DIN DN 15 NIERDZEWNA GAT. 304/304L

NAKRĘTKA DIN DN 15 NIERDZEWNA GAT. 304/304L

18,91 zł
Brutto

Dostępny
SKU: 01.07.02-0044
Opis
Nakrętka DIN

  • Materiał: Stal Nierdzewna
  • Gatunek: AISI 304 EN 1.4301
  • Rozmiar: DN15- w przypadku tej części, stosuje się to jedynie jako oznaczenie, nie jest to żaden z wymiarów nakrętki
  • Typ gwintu: okrągły
  • Norma: DIN 11851 
*Zdjęcie poglądowe. Produkt może delikatnie różnić się od prezentowanego. 

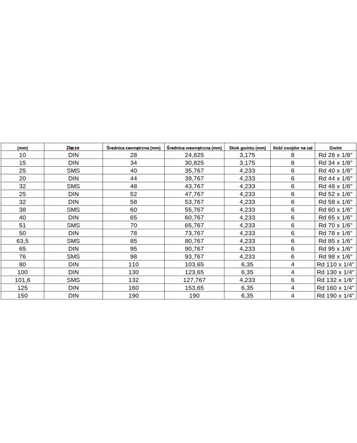
Średnice gwintów dla poszczególnych rodzajów złącz spożywczych podano w tabelce.
Szczegóły produktu
01.07.02-0044

Opis

MateriałStal Nierdzewna
GatunekAISI 304, EN 1.4301, A2
RozmiarDN 15
NormaDIN 11851
ModelDIN
Typ GwintuOkrągły

Zaloguj się

Megamenu

Moja lista życzeń0

Twoj Koszyk

Brak produktów w Twoim koszyku