NAKRĘTKA DIN DN 100 NIERDZEWNA GAT. 304/304L

NAKRĘTKA DIN DN 100 NIERDZEWNA GAT. 304/304L

50,18 zł
Brutto
W ofercie posiadamy również inne rodzaje złącz spożywczych:
  • SMS 1145
  • DIN 11851
  • TRI-CLAMP

Dostępny
SKU: 01.07.02-0042
Opis
Nakrętka DIN

  • Materiał: Stal Nierdzewna
  • Gatunek: AISI 304 EN 1.4301
  • Rozmiar: DN100  - w przypadku tej części, stosuje się to jedynie jako oznaczenie, nie jest to żaden z wymiarów nakrętki
  • Typ gwintu: okrągły
  • Norma: DIN 11851 
*Zdjęcie poglądowe. Produkt może delikatnie różnić się od prezentowanego. 

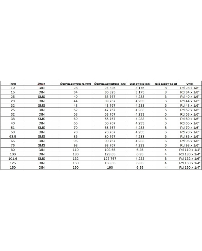
Średnice gwintów dla poszczególnych rodzajów złącz spożywczych podano w tabelce.
Szczegóły produktu
01.07.02-0042

Opis

MateriałStal Nierdzewna
GatunekAISI 304, EN 1.4301, A2
RozmiarDN 100
Norma11851
ModelDIN
Typ GwintuOkrągły

Zaloguj się

Megamenu

Moja lista życzeń0

Twoj Koszyk

Brak produktów w Twoim koszyku