NAKRĘTKA DIN DN 125 NIERDZEWNA GAT. 304/304L

NAKRĘTKA DIN DN 125 NIERDZEWNA GAT. 304/304L

198,14 zł
Brutto

Obecnie brak na stanie
SKU: 01.07.02-0043
Opis
Nakrętka DIN

  • Materiał: Stal Nierdzewna
  • Gatunek: AISI 304 EN 1.4301
  • Rozmiar: DN125- w przypadku tej części, stosuje się to jedynie jako oznaczenie, nie jest to żaden z wymiarów nakrętki
  • Typ gwintu: okrągły
  • Norma: DIN 11851 
*Zdjęcie poglądowe. Produkt może delikatnie różnić się od prezentowanego. 

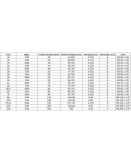
Średnice gwintów dla poszczególnych rodzajów złącz spożywczych podano w tabelce.
Szczegóły produktu
01.07.02-0043

Opis

MateriałStal Nierdzewna
GatunekAISI 304, EN 1.4301, A2`
RozmiarDN 125
NormaDIN 11851
ModelDIN
Typ GwintuOkrągły

Zaloguj się

Megamenu

Moja lista życzeń0

Twoj Koszyk

Brak produktów w Twoim koszyku