KRÓCIEC GWINTOWANY DIN DN 32 NIERDZEWNY GAT. 304/304L

KRÓCIEC GWINTOWANY DIN DN 32 NIERDZEWNY GAT. 304/304L

16,52 zł
Brutto

Dostępny
SKU: 01.07.02-0013
Opis
Króciec gwintowany DIN

  • Materiał: Stal Nierdzewna
  • Gatunek: AISI 304 EN 1.4301
  • Rozmiar: DN32(średnica zewnętrzna rury)
  • Typ gwintu: okrągły
  • Norma: DIN 11851 
*Zdjęcie poglądowe. Produkt może delikatnie różnić się od prezentowanego. 

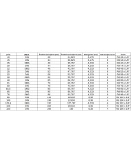
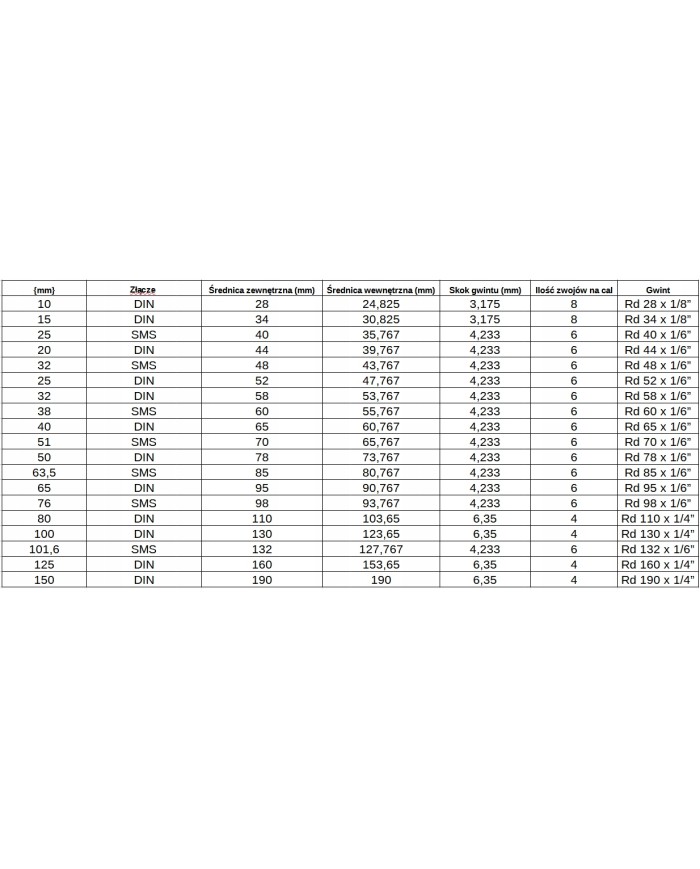
Średnice gwintów dla poszczególnych rodzajów złącz spożywczych podano w tabelce.
Szczegóły produktu
01.07.02-0013

Opis

MateriałStal Nierdzewna
GatunekAISI 304, EN 1.4301, A2`
Rozmiar35mm (średnica zewnętrzna rury)
NormaDIN 11851
ModelDIN
Typ GwintuOkrągły

Zaloguj się

Megamenu

Moja lista życzeń0

Twoj Koszyk

Brak produktów w Twoim koszyku